Задание № 4995
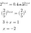
Решите уравнение 23+х = 0,4 • 53+х.
Решать другие задания по теме: Вероятности сложных событий
Показать ответ
Комментарий:
Ответ: -2
Ответ: -2Нашли ошибку в задании? Выделите фрагмент и нажмите Ctrl + Enter.