Задание № 4969
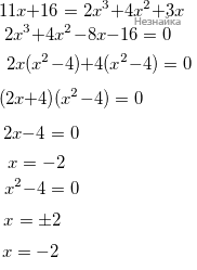
Прямая у = 11x + 16 является касательной к графику функции у = 2х3 + 4х2 + Зх. Найдите абсциссу точки касания.
Решать другие задания по теме: Вычисления и преобразования
Показать ответ
Комментарий:
Ответ: -2
Ответ: -2Нашли ошибку в задании? Выделите фрагмент и нажмите Ctrl + Enter.