Задание № 4940
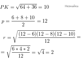
Найдите радиус окружности, вписанной в треугольник МРК, считая стороны квадратных клеток равными 1

Решать другие задания по теме: Простейшие уравнения
Показать ответ
Комментарий:
Ответ: 2
Ответ: 2Нашли ошибку в задании? Выделите фрагмент и нажмите Ctrl + Enter.