Задание № 4925
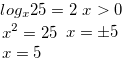
Найдите корень уравнения logx 25 = 2.
Решать другие задания по теме: Вероятности сложных событий
Показать ответ
Комментарий:
Ответ: 5
Ответ: 5Нашли ошибку в задании? Выделите фрагмент и нажмите Ctrl + Enter.