Задание № 4876
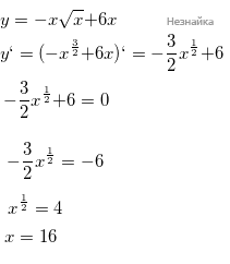
Найдите точку максимума функции [math]y(x)=-x\sqrt x+6x[/math]
Решать другие задания по теме: Наибольшее и наименьшее значение функций
Показать ответ
Комментарий:
Ответ: 16
Ответ: 16Нашли ошибку в задании? Выделите фрагмент и нажмите Ctrl + Enter.