Задание № 18522
Тело брошено с горизонтальной поверхности со скоростью V под углом а к горизонту. Сопротивление воздуха пренебрежимо мало. Установите соответствие между физическими величинами, характеризующими движение тела, и формулами, выражающими их в рассматриваемой задаче. К каждой позиции первого столбца подберите соответствующую позицию второго и запишите выбранные цифры.
ФИЗИЧЕСКИЕ ВЕЛИЧИНЫ
А) длительность полета тела t
Б) расстояние S от точки броска до точки падения
ФОРМУЛЫ
1) [math]\frac{2v\sin\alpha}g[/math]
2) [math]\frac{v^2\cos^2\alpha}g[/math]
3) [math]\frac{v^2\sin2\alpha}g[/math]
4) [math]\frac{v\sin\alpha}g[/math]


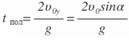
Для того что бы найти время полета необходимо решить это уравнение [math]{\mathrm v}_{0\mathrm y}\mathrm t-\frac{\mathrm{gt}^2}2=0[/math]
Его корнями будет 0 (в нулевой момент времени тело находилось на нулевой координате и

Для того что бы найти расстояние необходимо просто подставить время в уравнение движения по координате Х

Нашли ошибку в задании? Выделите фрагмент и нажмите Ctrl + Enter.