Задание № 5100
Автомобиль, движущийся со скоростью 60 км/ч, останавливается перед светофором за 2 с. Чему равен тормозной путь автомобиля?
Ответ: _____ м.
Решать другие задания по теме: Механика. Молекулярная физика (расчетная задача)
Показать ответ
Комментарий:
Найдём ускорение автомобиля. Скорость автомобиля в конечный момент времени равна нулю, поэтому v0 — at = 0, откуда
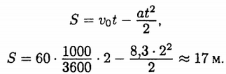
Тормозной путь
Ответ: 17
Найдём ускорение автомобиля. Скорость автомобиля в конечный момент времени равна нулю, поэтому v0 — at = 0, откуда
Тормозной путь
Ответ: 17Нашли ошибку в задании? Выделите фрагмент и нажмите Ctrl + Enter.