Задание № 18640
Зависимость координаты х тела от времени t имеет вид x = 20 - 6t + 2t2. Через сколько секунд после начала отсчета времени t = 0 с проекция вектора скорости тела на ось 0x станет равной нулю?
Ответ: _____ с
Решать другие задания по теме: Кинематика
Показать ответ
Комментарий:
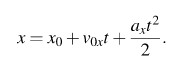
При равноускоренном движении зависимость координаты тела x от времени в общем виде имеет вид

Сравнивая с выражением, данным в условии, получаем, что проекция на ось x начальной скорости равна

а проекция ускорения равна

Проекция скорости тела на ось x зависит от времени следующим образом:

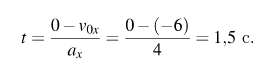
Следовательно, проекция скорости тела на ось x станет равной нулю в момент времени

Нашли ошибку в задании? Выделите фрагмент и нажмите Ctrl + Enter.